区块链入门教程,这一篇就足够了
你是否也感觉“区块链”这个词无处不在,却又雾里看花?媒体热议它颠覆未来,但真正能说清它是什么、特别在哪里的人,似乎并不多。今天,我们就来彻底揭晓它的神秘面纱。
本文为你系统梳理区块链的核心原理。内容力求清晰,若有任何探讨之处,敬请指正交流。
区块链的本质:一种革命性的数据库区块链是什么?一言以蔽之:它是一种去中心化的分布式数据库。

它的核心功能是存储信息。任何需要记录的数据,都可写入或读取,因此它具备数据库的根本属性。
关键在于其架构:任何人均可搭建服务器节点,自由加入区块链网络。这里没有至高无上的中心服务器,每个节点地位平等,都拥有完整的数据库副本。你可以向任意节点读写数据,所有节点最终将协同同步,确保数据全网一致。
区块链的颠覆性特点:真正的“去中心化”分布式数据库并非新鲜事物。但区块链带来了一项革命性突破:它没有管理员,实现了彻底的去中心化。
传统数据库总有管理权限存在,而区块链的设计目标,正是为了杜绝任何中心化控制权的出现。这使得它天然抗审查、防操控。
试想,若存在一个中心化管理机构,巨头公司便可掌控平台,所有用户都将受制于人。而无管理员的特性,保障了系统的开放与公平。
随之而来的问题是:人人可写入,如何确保数据可信?如何防止恶意篡改?接下来的机制,正是区块链的精妙所在。
区块:区块链的基本单元区块链由一个个“区块”链接而成。每次写入数据,就是创建一个新区块,这类似于数据库中的一条记录。

每个区块包含两部分:
区块头:记录当前区块的特征值。
区块体:存储实际数据。
区块头包含多项关键特征值,例如:
1. 生成时间戳
2. 当前区块体的哈希值
3. 上一个区块的哈希值
4. ……
要理解区块链,“哈希”是必须掌握的核心概念。

“哈希”可理解为数据的“数字指纹”。计算机能对任意内容计算出一个固定长度的唯一特征值。区块链采用256位哈希,这意味着任何数据都会对应一个256位的二进制串,且几乎不可能出现两个不同数据对应相同哈希的情况。
例如,字符串“123”对应一个特定的哈希值。这引伸出两个核心推论:
1. 每个区块的哈希唯一,可作为其身份ID。
2. 区块内容一旦改变,其哈希必定随之改变。
哈希的不可篡改性:保障安全的基石区块与哈希一一对应,哈希值通过对“区块头”计算得出。具体而言,是将区块头的各项特征值拼接后,进行哈希运算。
Hash = SHA256(区块头)
请注意,此计算仅基于区块头,不包含区块体。这意味着哈希由区块头唯一决定。
如前所述,区块头包含了“当前区块体哈希”和“上一区块哈希”。任何对当前区块体或上一区块的修改,都会触发当前区块哈希值的改变。
这正是区块链防篡改的精髓所在。若有人篡改某一区块,其哈希即变。为了使其后续区块仍能与之链接(因为后续区块记录着前一区块的哈希),篡改者必须一并进行后续所有区块的修改。由于哈希计算极其耗时,且全网算力分散,短时间内完成连续篡改在实践中不可能实现,除非掌控全网51%以上的算力。
通过这种环环相扣的链式结构,区块链确保了数据的不可逆性。如同历史被定格,一旦写入,永难更改。

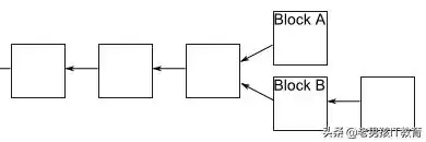
每个新区块都指向前一个区块,形成一条 chronological 链条,“区块链”之名正源于此。
采矿:共识与安全的代价为确保节点间有效同步,新区块的生成不能太快。设想你刚基于一个区块开始计算下一区块,此时其他节点已生成新区块,你就必须放弃当前计算,立即去同步新链。因为每个区块后只能连接一个新区块,你永远只能基于最新的区块进行延伸。
为此,区块链创始人中本聪(化名)故意将添加新区块的过程设计得异常困难:全网平均每10分钟才能生成一个新区块。
这一速度并非强制规定,而是通过设置巨大的计算量来实现。只有经过海量计算,才能找到满足条件的有效哈希,从而将新区块添加到链上。巨大的计算量自然导致速度受限。
此过程被称为“采矿”,因为寻找有效哈希的难度,堪比沙海寻金。执行计算的机器称为“矿机”,操作者即为“矿工”。
难度系数:为何采矿如此之难?你或许会问:计算哈希不是计算机的强项吗,为何会难?
关键在于,并非所有哈希都被接受。区块链协议设定了苛刻的“难度系数”,只有低于特定目标值的哈希才有效。绝大部分计算结果因不满足条件而被废弃,必须重新计算。
区块头中包含当前难度系数。协议通过一个常量除以该系数,得到微小的“目标值”。哈希值必须小于此目标值方为有效,这概率极低,可能需要数十亿次计算才能命中一次。

由于区块头其他特征值固定,为让哈希结果可变,中本聪引入了“随机数”。矿工的核心工作就是不断猜测这个随机数,使最终哈希满足条件。这是一个典型的穷举试错过程。例如,某个区块的随机数经过了2.74亿次尝试才找到。运气至关重要,也可能遍历所有可能值仍无解,届时矿工可调整区块体内容重新计算。
难度动态调节:维持恒定的产出节奏采矿的随机性导致出块时间波动。随着算力增长,出块本应加速。为维持平均10分钟的产出率,区块链设计了难度系数动态调节机制:每两周根据过去2016个区块的实际平均生成时间调整难度。若快于10分钟,则调高难度;若慢于10分钟,则调低难度。长期来看,难度系数持续上升,采矿也变得越来越难。
区块链的分叉:共识的最终抉择即使数据不可篡改,还有一个问题:如果两人同时写入,产生两个合法新区块,形成分叉,该如何处理?

区块链的规则是:节点始终选择并延伸最长的那条链。当出现分叉,各分支继续竞争,率先在分叉点后增加6个新区块(即“六次确认”,约需1小时)的分支胜出,成为主链,另一分支被抛弃。

这本质上是算力的竞争,拥有多数计算能力的链,即是公认的权威区块链。
总结与展望区块链作为一种去中心化分布式数据库,已历经超过十年实践检验,证明了其技术可行性。
为达成可靠性与安全性,它付出了代价:一是效率,数据写入需要等待确认时间;二是能耗,采矿消耗大量能源进行竞争性计算。
区块链的适用场景具有明确边界:
1. 缺乏所有成员信任的权威中心。
2. 数据写入无需实时响应。
3. 产生的价值能覆盖维护成本。
若不满足上述条件,传统数据库往往是更优选择。

目前,区块链最成熟的应用仍是加密货币领域,但它所代表的信任机制,正在向更广阔的天地探索。理解其原理,是你踏入未来数字世界的第一步。现在,你是否对区块链有了更清晰的认知?不妨分享你的见解,或开始思考它可能赋能的下一个场景。
相关问答
学习区块链需要什么基础?
学习区块链需要计算机基础,如编程、数据结构与网络知识。同时,密码学与分布式系统理论也至关重要。核心是掌握其工作原理、共识算法及智能合约开发等。
区块链技术概论学什么?
区块链技术概论的核心,是学习如何构建去中心化信任机制。它解决在互不了解的多个节点之间,如何进行可靠的信息交互与价值传递这一根本问题。
金融学生该如何学习区块链?
金融背景学习者应从商业与应用视角切入,理解区块链如何重塑生产关系与金融基础设施。同时需补充技术通识,将金融逻辑与区块链特性相结合。
学习区块链需要很长时间吗?有哪些关键知识点?
学习时长取决于目标深度。关键知识点包括:密码学基础、分布式账本、共识机制、智能合约、钱包与交易模型,以及主流公链技术架构。
如何从零开始学习以太坊及区块链?
建议先建立区块链整体概念,再深入以太坊。从比特币原理入门,继而学习以太坊的账户模型、Gas机制、Solidity语言及DApp开发框架。
如何学习区块链技术并找到相关工作?
路径分为两步:一是系统学习技术栈,参与开源项目积累实战经验;二是关注行业动态,针对性地准备智能合约开发、链分析、架构师等热门岗位技能。
区块链技术应用专业学什么?
该专业通常涵盖区块链原理、加密算法、分布式系统、智能合约开发、DApp设计,以及金融科技、供应链管理等行业应用案例分析。
区块链基础与应用学啥?
课程融合理论与实战,既学底层技术原理与架构,也通过案例学习政务、金融、物联网等领域的融合应用方案设计与评估。
区块链应用开发如何入门?
先吃透基础概念,再选择一门主流开发语言和框架(如JavaScript/Truffle)。多研究GitHub开源项目,从模仿和改造开始实践。
专科读区块链技术应用有用吗?
非常有用。区块链是跨学科领域,专科教育能提供扎实的实践技能。重点在于掌握P2P网络、加密技术等核心模块,成为应用型技术人才。